HER ALANDA HUKUKSAL MÜCADELEYE DEVAM 28 Aralık 2025, 10:00
Ulaşım-İş Sendikası bir kez daha sözde etkili, sözde yetkili sendikalara fark atmıştır.
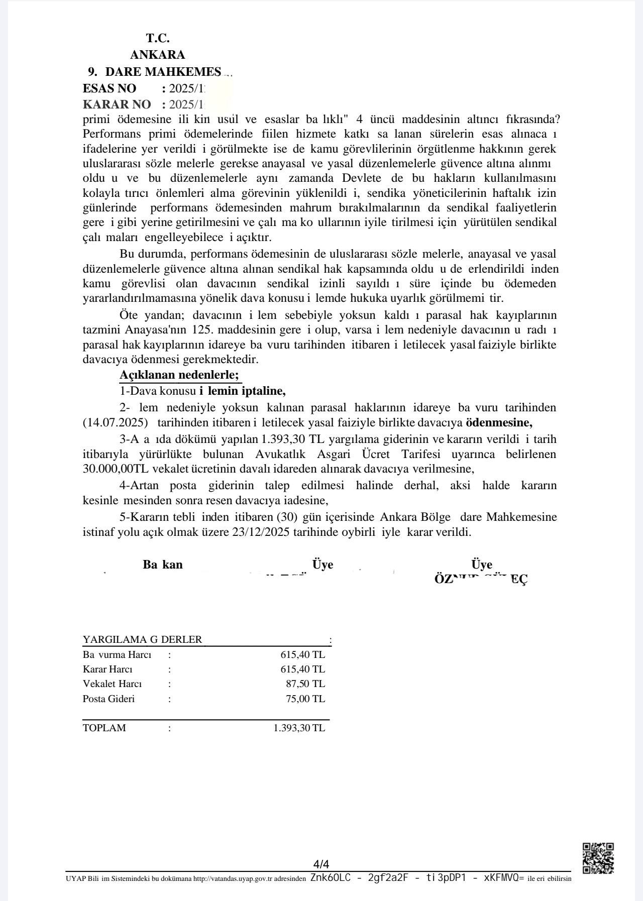
DHMİ Personeli MYK üyesi Murat Kartal adına açılan, sendikal izin sırasında performans ödemesinin kesilmesine yönelik hukuksuz işlem mahkeme kararıyla iptal edilmiştir.
Baskılara, tehditlere, hak gasplarına boyun eğmedik, eğmeyeceğiz.
Ulaşım-İş varsa mücadele vardır, Ulaşım-İş varsa hukuk vardır!
Yaşasın örgütlü mücadele, yaşasın Ulaşım-İş!
DIĞER HABERLER
-
BAYRAĞIMIZA UZANAN ELLER KARŞISINDA SUSMAYACAĞIZ
20 Ocak 2026, 23:23 -
DHMİ MAAŞ PROMOSYONU HAYAL KIRIKLIĞI YARATTI:ÇALIŞANIN EMEĞİ BU KADAR UCUZMU?
20 Ocak 2026, 23:19 -
DHMİ PERFORMANS PRİMİ HAKKINDA AÇMIŞ OLDUĞUMUZ DAVANIN DAVALI İDARE TARAFINDAN YAPILAN SAVUNMASI
19 Ocak 2026, 03:13 -
YENİ YIL MESAJI
31 Aralık 2025, 14:11 -
HER ALANDA HUKUKSAL MÜCADELEYE DEVAM
28 Aralık 2025, 10:00 -
HUKUK MÜCALEMİZ BİR KEZ DAHA MÜCADELE ARKADAŞIMIZ LEHİNE SONUÇLANDI
20 Aralık 2025, 09:00 -
19 ARALIK İŞ BIRAKMA EYLEMİ
19 Aralık 2025, 14:00 -
BALIKESİR MERKEZ HAVALİMANI MÜDÜRLÜĞÜNDE FAZLA MESAİ İLE İLGİLİ SORUN YAŞAYAN APRON MEMURLARIMIZ
08 Aralık 2025, 09:00 -
DHMİ ÇALIŞANLARINI OYALAMAYIN
01 Aralık 2025, 16:03 -
DHMİ PERFORMANS PRİMLERİ İLE İLGİLİ MAHKEME İDAREDEN SAVUNMA İSTEDİ
28 Kasım 2025, 10:00





